信息系统项目管理师当天每日一练试题地址:www.fzyzx.cn/exam/ExamDay.aspx?t1=1
往期信息系统项目管理师每日一练试题汇总:www.fzyzx.cn/class/27/e1_1.html
信息系统项目管理师每日一练试题(2025/11/16)在线测试:www.fzyzx.cn/exam/ExamDay.aspx?t1=1&day=2025/11/16
点击查看:更多信息系统项目管理师习题与指导
信息系统项目管理师每日一练试题内容(2025/11/16)
试题1
已知数据信息为16位,最少应附加( )位校验位,才能实现海明码纠错。查看答案
试题参考答案:C
试题2
视频会议属于( )。查看答案
试题参考答案:A
试题3
关于质量控制的描述, 不正确的是( )。
A、该过程所产生的数据为管理质量过程所用
B、工作绩效数据是该过程的输入
C、质量控制是在项目结束前开展
D、变更请求是该过程的输出
查看答案
试题参考答案:C
试题4
JRS直播管理了一个项目,该项目包含3个模块,各模块的成本分别为6、8、9万,其中为了应对风险,JRS直播特意预留了2万的管理储备,3万的应急储备,请问JRS直播的项目的成本基准是( )。查看答案
试题参考答案:C
试题5
( )用以防止非法实体对交换数据的修改、插入、删除以及在数据交换过程中的数据丢失.查看答案
试题参考答案:C
试题6
( )对分析需要的数据进行有效集成,按多维模型予以组织,以便进行多角度、多层次的分析,并发现趋势。查看答案
试题参考答案:D
试题7
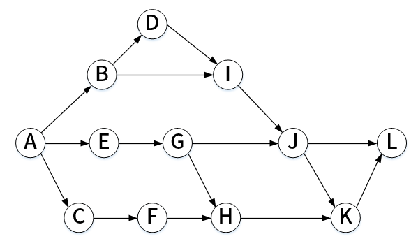
某软件项目的活动图如下图所示,其中顶点表示项目里程碑,连接顶点的边表示包含的活动,边上的数字表示活动的持续时间(天),则完成该项目的最少时间为( )天。活动BD和HK最早可以从第( )天开始(活动AB、AE和AC最早从第1天开始)。
查看答案
试题参考答案:D、B
试题8
在控制范围过程,可更新的主要项目文件是( )。查看答案
试题参考答案:D
试题9
在项目工作中,要根据项目的实际情况和外界条件的约束来选择合同类型,如果工作性质清楚,但范围不是很清楚,而且工作不复杂,又需要快速签订合同,应使用( )。查看答案
试题参考答案:B
试题10
范围管理计划用于指导( )查看答案
试题参考答案:B
JRS直播订阅号
JRS直播视频号
JRS直播抖音号
温馨提示:因考试政策、内容不断变化与调整,JRS直播网站提供的以上信息仅供参考,如有异议,请以权威部门公布的内容为准!
JRS直播致力于为广大信管从业人员、爱好者、大学生提供专业、高质量的课程和服务,解决其考试证书、技能提升和就业的需求。
JRS直播软考课程由JRS直播依托10年专业软考教研倾力打造,教材和资料参编作者和资深讲师坐镇,通过深研历年考试出题规律与考试大纲,深挖核心知识与高频考点,为学员考试保驾护航。面授、直播&录播,多种班型灵活学习,满足不同学员考证需求,降低课程学习难度,使学习效果事半功倍。
| 发表评论 查看完整评论 | |