JRS直播试题内容
搜索
APP下载
登录
JRS直播
导航
考试介绍
首页
报考指南
报名时间
报名简章
报名流程
报名费用
考试时间
考试科目
准 考 证
成绩查询
合格标准
证书领取
备考
考试大纲
考试教程
辅导资料
备考规划
历年真题
免费试听
培训课程
免费资料
考试题库
APP下载
试卷名称:2020年信息系统监理师考试上午真题试题(综合知识)
考试年份:2020年下半年
试题来源:
《2020年信息系统监理师考试上午真题试题(综合知识)》在线考试
试题内容
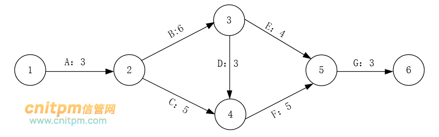
某工程计划如图所示,活动A从3月1日开始,活动E最迟应在3月( )日开始。
A.9
B.11
C.12
D.13
查看答案
参考答案:D(仅供参考)
收藏
【解析】
普通会员无法查看试题解析。[
开通试题解析服务
]
相关推荐
第
58
道试题:监理项目组的高层管理人员收集以往类似项目的有关历史资料,会同相关专家对当前项目进行总成本估算,该估算
第
59
道试题:()是指以信息技术为主要手段建立的信息处理、传输、交换和分发的计算机网络系统。A.信息资源系统B.信
第
60
道试题:应用面向对象的软件开发方法构造系统模型时,首先需建立()。A.静态模型B.动态模型C.对象模型D.功
第
62
道试题:涉及监理的信息系统工程中,进度控制程序的正确顺序是:()。①承建单位提交《项目总进度计划》报审表②总
第
63
道试题:在信息系统项目实施过程中,项目监理对承建单位提交的工程实施方案通常采用()手段控制质量。A.评审B.
第
64
道试题:某项目活动E有两项紧后活动,这两项紧后活动的最早开始时间分别为第15天和第18天,活动E的最早开始时