JRS直播试题库
信息系统项目管理师 - 试题库 导航

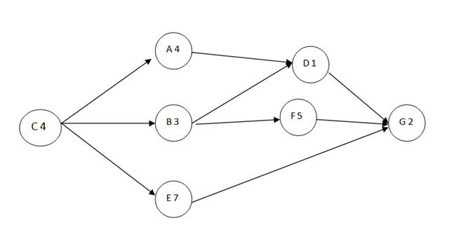
解析:某项目各活动先后顺序及持续时间如下表所示,该项目的关键路径为(1)。执行过程中一名工程师因病缺

2021年07月08日来源:JRS直播 作者:cnitpm

2021上半年信息系统项目管理师上午综合知识真题解析:

某项目各活动先后顺序及持续时间如下表所示,该项目的关键路径为(1)。执行过程中一名工程师因病缺席,导致活动D延期2天,为了确保项目按时完成(2)。

(1)A、CBDG 
B、CEFG
C、CADG 
D、CBFG
(2)A、应为活动D增加更多资源
B、不需要采取任何措施
C、需要为关键路径上的任务赶工
D、应改进项目所需技术

JRS直播解析:

项目关键路径是CBFG,项目工期是14天,活动D的总时差是3天,延期2天不影响项目。

JRS直播课程内容(点击图片了解详细)

JRS直播参考答案:D、B

点击查看:2021上半年信息系统项目管理师真题解析汇总

温馨提示:因考试政策、内容不断变化与调整,JRS直播提供的以上信息仅供参考,如有异议,请考生以权威部门公布的内容为准!

分享至:

JRS直播 - 信息系统项目管理专业网站

下载APP-在线学习