2013年05月09日来源:JRS直播 作者:cnitpm
新(fzyzx.cn) 00:18:45
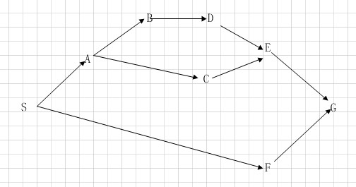
● 某工程包括A、B、C、D、E、F、G七项工作,各工作的紧前工作、所需时间以及所需人数如下表所示(假设每个人均能承担各项工作)

该工程的工期应为(35)天。按此工期,整个工程最少需要(36)人。
(35)A. 13 B. 14 C. 15 D. 16
(36)A. 7 B. 8 C. 9 D. 10
新(fzyzx.cn) 00:18:52
这种题怎么做啊?
一条鲨鱼(fzyzx.cn) 00:19:12
这个要画图啊
網上鄰居<sz_xiaoguang@163.com> 00:19:20
画图很快
新(fzyzx.cn) 00:19:26
关键路径?
小宇宙--ΒАОГА(283685854) 00:19:29
画图
一条鲨鱼(fzyzx.cn) 00:19:31
找出关键路径
一条鲨鱼(fzyzx.cn) 00:19:33
对
一条鲨鱼(fzyzx.cn) 00:19:42
时长就出来了
新(fzyzx.cn) 00:19:47
工期和人数怎么算啊
一条鲨鱼(fzyzx.cn) 00:20:09
呃,这有技术含量了
新(fzyzx.cn) 00:20:20
哈哈
一条鲨鱼(fzyzx.cn) 00:21:01
你画了图没
網上鄰居<sz_xiaoguang@163.com> 00:21:05
人月神话
一条鲨鱼(fzyzx.cn) 00:21:07
不知道怎么阐述
一条鲨鱼(fzyzx.cn) 00:21:21
喔,加人是不行的
新(fzyzx.cn) 00:21:28
求工期天数,关键路径,比较的时候使用使用天数,人数,还是人天啊
新(fzyzx.cn) 00:21:31
花了
新(fzyzx.cn) 00:21:36
画了
一条鲨鱼(fzyzx.cn) 00:22:50
图传来看看
新(fzyzx.cn) 00:24:10
我在纸上画的
網上鄰居<sz_xiaoguang@163.com> 00:25:47
拍一拍
新(fzyzx.cn) 00:26:49
我画个啊,稍等
一条鲨鱼(fzyzx.cn) 00:26:59
是十五天吗
一条鲨鱼(fzyzx.cn) 00:27:00
好
新(fzyzx.cn) 00:27:26
恩
木木子(fzyzx.cn) 00:40:51
项目实际成本包含制定项目章程前的成本吗
一条鲨鱼(fzyzx.cn) 00:41:15
这个一直很纠结啊
一条鲨鱼(fzyzx.cn) 00:41:30
不知道是否是算入运营成本
新(fzyzx.cn) 00:41:32

新(fzyzx.cn) 00:41:35
对不?
木木子(fzyzx.cn) 00:41:38
好像有这样的一个选择题
一条鲨鱼(fzyzx.cn) 00:42:35
怎么有开始没结束啊
一条鲨鱼(fzyzx.cn) 00:42:47
是七个人吗
一条鲨鱼(fzyzx.cn) 00:42:52
呃,逻辑关系没错
新(fzyzx.cn) 00:43:04
恩
一条鲨鱼(fzyzx.cn) 00:43:23
发个别人给我的解释给你
新(fzyzx.cn) 00:43:31
需要的人数怎么计算啊
一条鲨鱼(fzyzx.cn) 00:43:37

一条鲨鱼(fzyzx.cn) 00:44:00
收到图没
新(fzyzx.cn) 00:44:13
恩
温馨提示:因考试政策、内容不断变化与调整,JRS直播提供的以上信息仅供参考,如有异议,请考生以权威部门公布的内容为准!
相关推荐