2013年03月20日来源:JRS直播 作者:cnitpm
活动排序网络图的二种类型
一、前导图(PDM)/单代号网络图(AON)
前导图法(Precedence Diagramming Meffiad.PDM)用于关键路径法(Critical PathMethod,CPM),是用于编制项目进度网络图的一种方法,它使用方框或者长方形(被称作节点)代表活动,它们之间用箭头连接,显示它们彼此之间存在的逻辑关系。 如下示意图

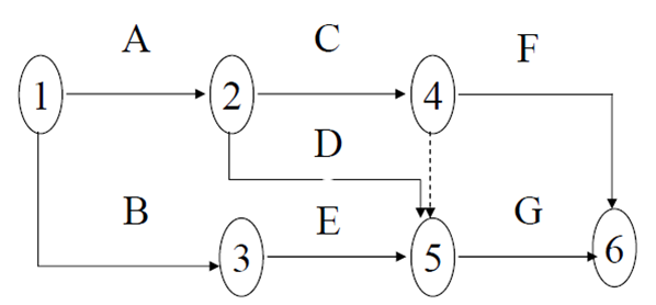
二、箭线图(ADM)/双代号网络图(AOA)
箭线图法(Arrow Diagramming Method,ADM)是用箭线表示活动、节点表示事件的一种网络圈绘制方法,这种方法又叫作双代号网络图法(Active Onthe AITOW,AOA),如图8-4所示。在箭线表示法中,给每个事件而不是每项活动指定一个唯一的代号。活动的开始(箭尾)事件叫做该活动的紧前事件(precede event),活动的结束(箭头)事件叫该活动的紧随事件( successor event)。 如下示意图

虚活动没有历时,不需要资源
例题
张某是M公司的项目经理,有着丰富的项目管理经验,最近负责某电子商务系统开发的项目管理工作。该项目经过工作分解后,范围已经明确。为了更好地对项目的开发过程进行监控,保证项目顺利完成,张某拟采用网络计划技术对项目进度进行管理。经过分析,张某得到了一张工作计划表,如表1所示。

事件1:为了表明各活动之间的逻辑关系,计算工期,张某将任务及有关属性用以下样图表示,然后根据工作计划表,绘制单代号网络图。

其中,ES表示最早开始时间;EF表示最早结束时间;LS表示最迟开始时间;LF表示最迟结束时间;DU表示工作历时;ID表示工作代号。
事件2:张某的工作计划得到了公司的认可,但是项目建设方(甲方)提出,因该项目涉及融资,希望项目工期能够提前2天,并可额外支付8万元的项目款。
事件3:张某将新的项目计划上报给了公司,公司请财务部估算项目的利润。
【问题1】(13分)
(1)请按照事件1的要求,帮助张某完成此项目的单代号网络图。
(2)指出项目的关键路径和工期
【问题2】(6分)
在事件2中,请简要分析张某应如何调整工作计划,才能既满足建设方的工期要求,又尽量节省费用。
【问题3】(6分)
请指出事件3中,财务部估算的项目利润因工期提前变化了多少,为什么?
解析:https://www.fzyzx.cn/pm/5982.html
温馨提示:因考试政策、内容不断变化与调整,JRS直播提供的以上信息仅供参考,如有异议,请考生以权威部门公布的内容为准!
相关推荐