2012年10月09日来源:JRS直播 作者:cnitpm
﹏ài_J.c(fzyzx.cn) 13:56:03

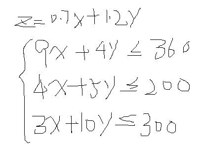
﹏ài_J.c(fzyzx.cn) 13:56:16
请问下 这个方程组该如何求解啊 忘光了
﹏ài_J.c(fzyzx.cn) 13:56:35
画坐标系?
﹏ài_J.c(fzyzx.cn) 13:56:54
真忘了 哪个好心人教我一下吧谢谢
MO(fzyzx.cn) 13:58:04
还要考这方程组啊
﹏ài_J.c(fzyzx.cn) 13:58:26
求利润最大值 不是要吗?
Helen(fzyzx.cn) 13:58:40
同问,这个怎么求
..(fzyzx.cn) 14:09:28
根据第一个等式 把x换算成 (10z-12y)/7 的关系式 然后代入后面的方程组
古月(fzyzx.cn) 14:11:10
x=20 y=24
lingling(fzyzx.cn) 14:12:01
呵呵,他肯定不是要答案,而是方法
人月神话(fzyzx.cn) 14:12:20
很简单啦
lingling(fzyzx.cn) 14:12:44
这个是比较简单
人月神话(fzyzx.cn) 14:12:45
2式乘以2减去3式
人月神话(fzyzx.cn) 14:13:11
不就得出x<=20,然后代入2式得y<=24
古月(fzyzx.cn) 14:13:21
画画图 就出来了
人月神话(fzyzx.cn) 14:13:29
然后根据1式
人月神话(fzyzx.cn) 14:13:36
找符合条件
..(fzyzx.cn) 14:14:24
原来我笨了
popeye.gao(fzyzx.cn) 14:15:17
这种不等式能相减么?
人月神话(fzyzx.cn) 14:15:24
呵呵,这个都不晓得,还考信管,到时候计算项目资金及一系列费用
popeye.gao(fzyzx.cn) 14:15:43
相减的话,不等号不是应该改变么?
人月神话(fzyzx.cn) 14:16:58
呵呵,先看着等号来计算机呗
人月神话(fzyzx.cn) 14:17:15
只要不出现负数,不等号是不要变化滴。
攒人品(fzyzx.cn) 14:18:36
嗯 按照等号来算得出数来
温馨提示:因考试政策、内容不断变化与调整,JRS直播提供的以上信息仅供参考,如有异议,请考生以权威部门公布的内容为准!
相关推荐