2012年09月26日来源:JRS直播 作者:cnitpm
毛林(fzyzx.cn)
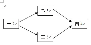
一个活动有4道工序,一个工作只能负责1道工序。每名工人工作完成各工序所需小时数如表1所示,工序间的依赖关系如表2所示。完成该活动最少需要(37)
表一:

表二:

A、10
B、14
C、16
D、18
毛林(fzyzx.cn)
求解
毛林(fzyzx.cn)
答案是C,不知道怎么得来的
毛林(fzyzx.cn)
求高手给出解题思路
人在旅途(fzyzx.cn)
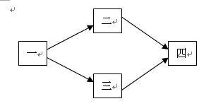
4+8+4=16 顺序为1,3,4
人在旅途(fzyzx.cn)
工序2不是关键路径。
毛林(fzyzx.cn)
怎么来的
云鸿(fzyzx.cn)
云鸿(fzyzx.cn)
这么理解对么??
军少(fzyzx.cn)
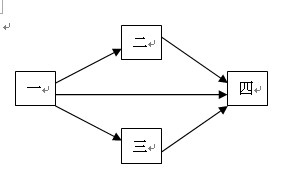
一不能指向四
云鸿(fzyzx.cn)
云鸿(fzyzx.cn)
那就是这个了
云鸿(fzyzx.cn)
请问这是哪年的题 还是模拟题?
毛林(fzyzx.cn)
中间的8这样得来的
军少(fzyzx.cn)
甲一 乙三,丙二,丁四
毛林(fzyzx.cn)
2012年上半年考题
云鸿(fzyzx.cn)
甲干完一个不能再干了吗??
军少(fzyzx.cn)
一人只能负责一道工序 题干上说的
云鸿(fzyzx.cn)
一个工人只能负责1道工序?
505(fzyzx.cn)
不适用关键路径
505(fzyzx.cn)
因为 二 和三 分工没确定情况下,时间不一样,关键路径也可能不同
云鸿(fzyzx.cn)
我觉的应该是 一7 二3 三5 四4 ,7+5+4=16
Helen(fzyzx.cn)
4+8+4=16,这个对
505(fzyzx.cn)
甲4 丁 4 这两个确定下来
505(fzyzx.cn)
然后 比较 乙、丙 最小值里 最大值 ,8
云鸿(fzyzx.cn)
那我的错在哪?

军少(fzyzx.cn)
你把丁重复利用了
云鸿(fzyzx.cn)
啊 sorry哦~~
505(fzyzx.cn)
甲4 丁 4 这两个确定下来
然后 比较 乙、丙 最小值里 最大值 ,8
这是 正解
云鸿(fzyzx.cn)
这题倒不难 就是题干有个错别字
毛林(fzyzx.cn)
min(工序一)+max(工序二、三)+min(工序四),要保证甲乙丙丁任务不冲突。
毛林(fzyzx.cn)
我搞了半天才搞懂,31分
军少(fzyzx.cn)
min(工序一)+max(min(工序二、三))+min(工序四)
这样吧
云鸿(fzyzx.cn)
这样的题还有公式啊?
云鸿(fzyzx.cn)
毛林 你什么31分啊?
毛林(fzyzx.cn)
考了31
云鸿(fzyzx.cn)
上半年?
云鸿(fzyzx.cn)
还是模拟?
毛林(fzyzx.cn)
是的
云鸿(fzyzx.cn)
那论文呢?
毛林(fzyzx.cn)
没考
云鸿(fzyzx.cn)
呵呵 直接放弃啦
温馨提示:因考试政策、内容不断变化与调整,JRS直播提供的以上信息仅供参考,如有异议,请考生以权威部门公布的内容为准!