UML及软件建模系列之活动图 - 综合知识 - JRS直播
JRS直播综合知识
JRS直播 - 综合知识 导航

UML及软件建模系列之活动图

2012年06月16日来源:JRS直播 作者:cnitpm

一、定义活动图
    活动图是一种用于描述系统行为的模型视图,它可用来描述过程(业务过程、工作流、事件流等)中的活动及其迁移。简单地讲,活动图是“OO流程图”。
    活动图能够附加在如下建模元素中以描述该元素的行为。
用例、类、接口、组件、节点
 
二、活动图的主要应用
 
1.描述用例的行为
    活动图对用例描述尤其有用,它可建模用例的工作流,显示用例内部和用例之间的路径;它也可以向读者说明需要满足什么条件用例才会有效,以及用例完成后系统保留的条件或者状态。
2.理解工作流程
    活动图对理解业务处理过程十分有用。可以画出描述业务工作流的活动图与领域专家进行交流,明确业务处理操作是如何进行的,将会有怎样的变化。
3.描述复杂过程的算法
    在这种情况下使用的活动图不过是UML版的程序流程图,常规的顺序、分支过程在活动图中都能得到充分的表现。
三、活动图的基本元素
活动图保留了许多传统的流程图的特征,它包含如下元素。
活动、操作、状态、转移、分岔、决策、联结
 
Visio中的UML活动图基本元素定义:
活动:动作状态
操作
状态:状态、初始状态、最终状态
转移:控制流
分岔:转移(分叉)
决策:判定
联结:转移(连接)
泳道
注释
 
注意:
1)状态的标记符与活动类似,也是带圆角的矩形,但状态的圆角比较小
2)状态通常使用一个指示系统当前状态的单词或者短语来标识。例如,Stopped是一个状态,而stop则是一个活动。
3)UML包含两个特殊状态,即开始状态和结束状态。开始状态以实心黑点表示,结束状态以带有圆圈的实心黑点表示。
4)每一个活动图只能有一个开始状态,但是可以有无数个结束状态。
 
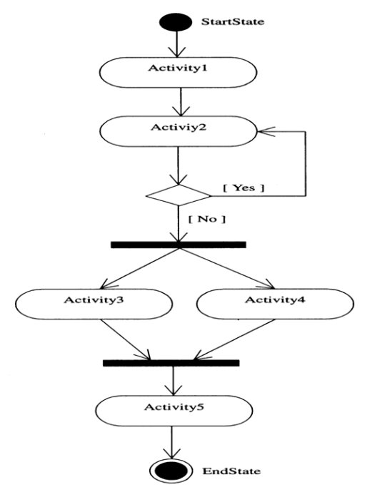
四、示例
UML及软件建模系列之活动图

温馨提示:因考试政策、内容不断变化与调整,JRS直播提供的以上信息仅供参考,如有异议,请考生以权威部门公布的内容为准!

分享至:

JRS直播 - 信息系统项目管理专业网站

下载APP-在线学习