2012年04月17日来源:JRS直播 作者:cnitpm

得到x的值
在上文中,我们通过相关性和显著性分析,最终决定使用需求文档中的用例数量作为x。下面就是要确定x的值,这个不必多说,直接从需求文档中得到相应的数量即可。
确定相关函数f
知道了x的值,下面就是要确定相关函数了。这一步是最艰难也是最有技术性的,因为相关函数不但和数理因素相关,还与开发团队、团队中的人以及管理方法有关。如果人员变动很大或管理方法做了很大的调整,历史数据可能就不具备参考价值了。不过如果团队的开发水平和管理方法没有重大变动,这个函数还是相对稳定的。
在函数选型上,一般会选择线性函数,当然我个人对此是十分怀疑的,但是这里为了简单起见,我们姑且照例使用线性函数作为预测模型。这样可以建立一元线性回归模型如下:

这个函数并不是简单的线性函数,而是包含了一个随机变量ε,这是一个服从正态分布的随机变量。上述模型的直观意义可以如下描述:a代表与x即用例数量无关的起始时间,b代表每一个用例所耗费的平均时间,而ε代表开发中的不确定性。在不同的团队中或不同的管理方法下,a,b和ε都是不一样的,但是当团队和管理方法相对稳定,可以认为a,b和ε是可通过历史数据估计的。而因为ε的期望为0,所以只要给出a和b的合理估计,就可以得到y的一个无偏估计。
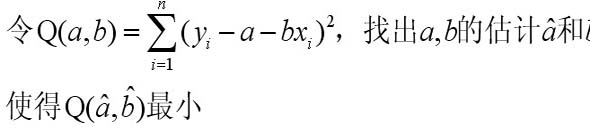
下面我们估计a和b的值。估计方法有很多,如曲线拟合法或最小二乘法。这里我们采用最小二乘法进行估计。
最小二乘法估计的基本原理如下:

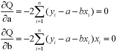
求极值可以使用微积分中的求极值方法,首先令Q(a,b)对a和b分别求偏导,并令偏导为零,得如下方程组:

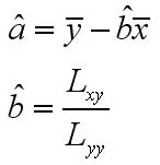
经过一系列计算和推导,最终可得到:

将以前的历史数据代入上述方程,就可以得到a和b的最小二乘估计。同样,这种机械而乏味的计算一般交由工具去完成。我用Excel得到a和b的估计分别为56.251和10.653.Excel分析结果如图3所示:
图3
根据估计结果,我们可以得出相关函数为y=56.251+10.653。我们还可以证明,这个估计是一致最小方差无偏估计,证明过程从略。
现在我们不但得到了相关函数,还得到了如下有用的数据结果:这个团队在目前的管理模式下,开发一个项目平均准备时间为56.251人时,而平均每个用例开发耗时为10.653人时。
得出y
有了上面的结果,我们可以很轻易得出新项目的计划工时。例如新项目有50个用例,代入可以得到y=56.251+10.653*50=588.901,约为589个人时,再假设团队中有3个开发人员,平均每周工作五天,每天工作8小时,就可以得到项目大约需要开发24.54个人日,开发周期约为5周。
得出y
有了上面的结果,我们可以很轻易得出新项目的计划工时。例如新项目有50个用例,代入可以得到y=56.251+10.653*50=588.901,约为589个人时,再假设团队中有3个开发人员,平均每周工作五天,每天工作8小时,就可以得到项目大约需要开发24.54个人日,开发周期约为5周。
后面的话
至此我们已经完成了利用一元线性回归模型对软件工期的估计。但是不得不承认,这个估计方法存在很多缺陷,如估计变量单一以及估计模型过于简单等等。实验证明,这种一元线性模型对中小型项目相对有效,如果团队比较大并且项目十分复杂,估计效果就不理想了。不过这篇文章给出了一种思路,就是如何利用数理统计模型以及历史经验数据来估计新项目的工期。对于文中的具体方法则可以进行诸多扩展,例如使用多个估计代理进行多元回归分析、细化估计方法等等。例如PSP中就给出一种非常精细的PROBE估计法,有兴趣的朋友可以参考。另外,除了求得估计值,还可以给出估值置信区间,甚至使用蒙特卡洛模拟技术进行更复杂的分析,都可以得到更理想的估值。但是其核心思想与本文是相通的。
[1] [2]
温馨提示:因考试政策、内容不断变化与调整,JRS直播提供的以上信息仅供参考,如有异议,请考生以权威部门公布的内容为准!