时间管理试题:请阅读以下描述,在下面的网络图中,每个节点是一个活动,在方框中的数字表示工期的天数。关 - 章节习题 - JRS直播

JRS直播章节习题

导航

时间管理试题:请阅读以下描述,在下面的网络图中,每个节点是一个活动,在方框中的数字表示工期的天数。关

2015年09月10日

试题来源:JRS直播 作者:cnitpm

试题分类:时间管理

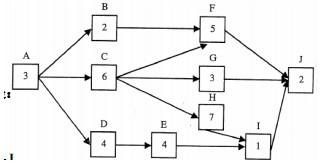
请阅读以下描述,在下面的网络图中,每个节点是一个活动,在方框中的数字表示工期的天数。关键路径是:
A. A-C-F-J
B. A-C-G-J
C. A-C-H-I-J
D. A-D-E-I-J

试题出处:http://www.ruantiku.com/shiti/2193755.html
在下面提交答题后即可查看答案与考友试题分析

温馨提示:因考试政策、内容不断变化与调整,JRS直播提供的以上信息仅供参考,如有异议,请考生以权威部门公布的内容为准!

分享至:

JRS直播 - 信息系统项目管理专业网站

下载APP-在线学习