软题库 移动APP 扫码下载APP 随时随地移动学习 培训课程
当前位置:JRS直播 >> 在线考试中心 >> 信息系统项目管理师题库 >> 试题查看
试卷名称 2002年系统分析师考试上午真题试题(综合知识)
考试中心《2002年系统分析师考试上午真题试题(综合知识)》在线考试
试卷年份2002年上半年
试题题型【单选题】
试题内容

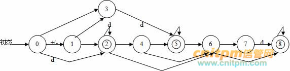
下图为一个确定的有限自动机 DFA 的状态转换图,有向弧上可以标记下列符号之一:小数点‘.’、十进制数字‘d’、正负号‘+/-’及科学记数标志‘e’。请补充图中弧上的标记,使该 DFA 可以识别十进制形式和科学记数表示形式的实数。

有向弧<0,3>和<1,3>的标记为(1);有向弧<1,2>和<2,4>的标记为(2);有向弧<2,6>和<4,6>的标记为(3);有向弧<4,5>和<5,6>的标记为(4);有向弧<5,5>、<6,8>和<6,7>的标记为(5)。(1)A、‘d’和‘d’ 
B、‘.’和‘d’ 
C、‘.’和‘.’ 
D、‘d’和‘.’
(2)A、‘d’和‘e’ 
B、‘d’和‘.’ 
C、‘e’和‘.’ 
D、‘e’和‘d’
(3)A、‘+/-’和‘e’ 
B、‘e’和‘d’ 
C、‘e’和‘+/-’ 
D、‘e’和‘e’
(4)A、‘e’和‘d’ 
B、‘.’和‘d’ 
C、‘d’和‘e’ 
D、‘e’和‘+/-’
(5)A、‘d’、‘d’和‘+/-’ 
B、‘d’、‘.’和‘d’ 
C、‘d’、‘+/-’和‘d’ 
D、‘d’、‘.’和‘e’ 

 


 


相关试题

推荐文章
合作网站内容