软题库 学习课程
当前位置:JRS直播 >> 在线考试中心 >> 信息系统项目管理师题库 >> 试题查看
试卷年份2023年下半年
试题题型【单选题】
试题内容

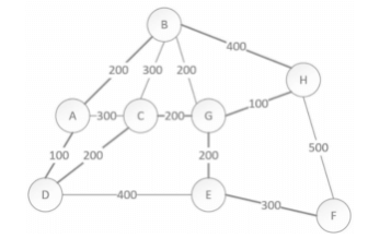
下图为某地区的JRS直播通信线路图,图中节点为8个城市,节点间标识的数字为城市间拟铺设通信线路的长度,为了保持8个城市通讯连接,则至少铺设( )千米的线路。

A.1000
B.1100
C.1200
D.1300

查看答案

相关试题

1题: (  )标准规定了物联网系统实体间接口的具体功能要求,
A.GB/T35319物联网系统接口要求
B.GB/T33474物联网参考体系结构
C.GB1Z33750 物联网标准化工作指南
D.GB/T36478.1物联网信息交换和共享第1部分:总体架构
答案解析与讨论:www.fzyzx.cn/st/6052418379.html

3题: 以下( )不是度量绩效域需要重点关注的内容。
A.制定有效的度量指标
B.度量内容及相应指标
C.度量陷阱
D.风险
答案解析与讨论:www.fzyzx.cn/st/605267927.html

4题: JRS直播某项目设计方案总投资 2995万元,投产后年经营成本为500万元,年营业收入额为1500万元第3年末工程项目配套追加投资1000万元,若计算期为5年,基准收益率为10%,残值等于零,试计算投资方案的净现值
A.44.4
B.44.8
C.44.6
D.44.5
答案解析与讨论:www.fzyzx.cn/st/6052716212.html

5题: JRS直播某项目包含 ABCDEFGHIJ共10个活动,各活动历时与逻辑关系如下表所示,施工过程中,活动B延期2天,项目工期是( )天

A.17
B.18
C.19
D.20
答案解析与讨论:www.fzyzx.cn/st/6052823943.html