阅读下列说明,回答问题1 至问题4,将解答填入答题纸的对应栏内。
【说明】(20分)
某地区政府部门建设一个面向公众服务的综合性网络应用系统,对现有的零散管理系统和服务平台进行重组整合,整个项目由政府的信息中心负责统一规划分期建设,由各共建单位的主要领导组成了领导小组,招标选择了监理公司全程监理建设过程。一期重点建设了社保、民政和交换中心三个应用系统。建设过程中由于机构改革、职能需要重新定位等原因,《需求规格说明书》始终找不到最终用户签字,在监理方和承建单位的一再努力下,只有一个共建单位的主管领导在该子系统的需求分析上签字确认,为了赶进度承建单位决定先行设计和实施,监理方认为可以理解且就目前的实际情况而言,也只好默许。
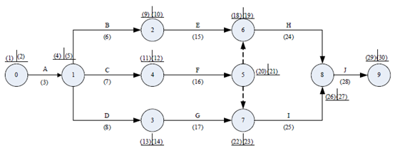
在实施中,承建单位制定了如下图所示的单元测试进度计划, 图中已标出每个节点的最早开始时间和最迟开始时间。监理工程师在第5 天进行检查时,发现工作A 已经完成,工作B 已经实施3 天,工作C 已经实施1 天,工作D 已经实施1 天。

工程竣工验收时,承建单位向监理单位提交了验收申请并将竣工验收所需要的全部资料报送项目监理单位,申请竣工验收。总监理工程师认为系统已经过初验和3 个月的试运行,并且运行情况良好,随即对验收申请予以签认,并协助建设单位进行后续的验收工作。
【问题1】在本项目需求分析阶段的监理中,监理方有没有不妥当的地方,监理应该怎样做?阐述软件需求分析阶段监理的主要任务。(6 分)
【问题2】根据对单元测试进度检查的结果,请确定:①工作B、C、D 的进度是正常还是延误(给出延误的天数);是否影响工期并说明为什么。②在项目总工期允许拖延的情况下,请重新计算网络时间参数并填入下图的空(1)~(30)中。总工期是正常还是延误?若延误,请给出延误的天数。(6 分)

【问题3】阐述承建单位应该产生的单元测试工作成果。(4 分)
【问题4】竣工验收时,总监理工程师在执行验收程序方面的做法正确吗?如果正确,
请说明理由;如果不正确,请说明正确的做法。(4 分)
阅读下列说明,回答问题1 至问题4,将解答填入答题纸的对应栏内。
【说明】(20分)
某县电子政务信息系统工程,总投资额度约500 万元,主要包括网络平台建设和业务办公应用系统开发,监理公司承担了全过程监理任务。建设单位自行决定采用邀请招标方式选择承建单位,但是监理单位指出采取邀请招标的方式不妥当,应当采取公开招标方式。最终建设单位接受监理的意见进行公开招标。在招标文件中要求省外的投标人需具备计算机信息系统集成一级资质、省内的投标人具备计算机信息系统集成二级资质,招标文件于9 月15 日发出,并规定9 月28 日为投标截止时间。A、B、C、D、E、F 等多家公司参加投标。但本次招标由于招标人原因导致招标失败。建设单位重新招标后确定A 公司中标,于10 月30 日向A 公司发出中标通知书,并在中标通知书发出后第40 天,与A 公司签订了项目建设合同。合同生效后,A 公司自行决定,将其中一部分核心软件开发工作分包给B 公司并签定了价值100 万元的分包合同。监理发现问题后,会同建设单位要求A 公司立即终止分包行为并处以2 万元罚款。A 公司表示接受惩罚并宣布与B 公司签定的分包合同无效。
在随后的应用系统建设过程中,监理工程师发现A 公司提交的需求规格说明书质量较差,要求A 公司进行整改。但是A 公司解释说,由于建设合同没有规定应用软件系统开发应遵循的质量标准方面的条款,建设单位也没有相关的质量准则,因此A 公司以自己公司相关的质量标准为依据进行需求调研、分析和编写需求规格说明书,是符合A公司质量标准的,从而拒绝进行整改。在这种情况下,监理单位建议A 公司与建设单位就此问题签定补充协议或遵循相关的国家标准(GB/T8567-88、GB/T9385-88 等)遭到A 公司的拒绝。
【问题1】指出该工程招投标过程中的不妥之处,为什么?(5 分)
【问题2】监理单位认为建设单位采取邀请招标的方式不妥当的依据是什么?(4 分)
【问题3】监理会同建设单位对A 公司进行经济惩罚额度是否合适?请阐明理由。A 公司宣布与B 公司签定的分包合同无效的法律依据是什么?(5 分)
【问题4】A 公司的做法是否正确?监理的建议是否妥当,请阐明理由。(6 分)
阅读下列说明,回答问题1 至问题4,将解答填入答题纸的对应栏内。
【说明】(20分)
某监理单位承担了某政府机关的网络平台和机房建设工程的监理工作。通过公开招标,确定工程的承建单位是A 公司,按照《合同法》的要求与A 公司签订了工程建设合同并在合同中规定,A 公司可以将机房工程这样的非主体、非关键性子工程分包给具备相关资质的专业公司。在工程项目的实施过程中,发生了如下事件:
事件 1:A 公司在征得建设单位同意后,将其中的机房工程建设工作分包给具有相应资质的B 公司,并将分包结果以书面形式通知了监理单位。
事件 2:在机房工程的施工中,总监理工程师在巡视中发现施工人员为了赶工期,把信号线和电源线放在了同一条槽中,违反了有关规范中信号线防干扰的规定。总监理工程师随即要求B公司保护好施工现场并于2 小时内将发生质量事故的情况以书面形式上报建设单位和监理单位以便共同确认处理意见。
事件 3:签订合同后,A 公司向监理提交了《网络工程建设进度计划》,监理审核后认为该计划符合要求并予以签认。
事件 4:工程验收是信息网络系统建设的收尾工作,A 公司按《网络工程建设进度计划》规定的时间于9 月10 日完工,并于9 月15 日提出验收申请。在确认工程项目已经达到验收条件的情况下,三方决定对项目实施验收,成立的工程验收小组由5 人组成,其中建设单位项目负责人1 人、监理单位人员1 人、外聘专家3 人。
【问题1】(3 分)
在事件 1 中,A 公司的分包过程是否妥当?为什么?
【问题 2】(5 分)
在事件 2 中,总监理工程师的做法是否妥当?为什么?
【问题 3】(5 分)
监理单位的做法妥当吗?阐述监理在实施进度控制时,可以采用的基本措施是什么?
【问题 4】(7 分)
在事件 4 中,验收小组组成妥当吗?为什么?正式验收的一般程序包括八个步骤,请列出。
答案解析与讨论:www.fzyzx.cn/st/58372010.html阅读下列说明,回答问题1 至问题3,将解答填入答题纸的对应栏内。
【说明】(15分)
某企业拟建设面向内部管理的ERP 系统和面向外部客户的网络营销系统,并选择了某监理单位承担该项目的全程监理工作。监理单位介入项目后,发生了如下事件:
事件1:建设单位根据外聘专家组的意见,从众多的ERP 厂商提供的解决方案中选择出两个方案备选。预计现金流量(NCF)(单位:千元)以及现值系数如下表所示(贴现率为10%)。建设单位要求监理对方案的选择提出监理意见。

事件2:网络营销系统的建设有两个方案备选,计算出的各项指标如下表所示。建
设单位要求监理对方案的选择提出监理意见。
事件3:在项目建设过程中,监理发现承建单位的需求调研和分析工作不到位,存在着重大的质量隐患,于是签发监理通知单报承建单位,责令承建单位整改。
【问题1】(4 分)
根据事件1 提供的预计现金流量分别计算A、B 两方案的净现值,并据以比较选其一。
【问题2】(4 分)
在事件2 中,如果这两个方案是互斥的(即同时只能选择一个方案)且无资金限量,你应该如何决策?为什么?
【问题3】(7 分)
监理的做法正确吗?为什么?阐述需求分析的目标和需求分析阶段研究的对象。