某人的电子邮箱为Rjspks@163.com,对于Rjspks和 163.com的正确理解为 ( 1) ,在发送电子邮件时 ,常用关键词使用中 , ( 2)是错误的 。若电子 邮件出现字符乱码现象 ,以下方法中 (3) 一定不能解决该问题 。
(1)A、 Rjspks 是用户名,163.com 是域名
B、 Rjspks 是用户名,163.com 是计算机名
C、 Rjspks 是服务器名,163.com 是域名
D、 Rjspks 是服务器名,163.com 是计算机名
(2)A、 From 是指 Rjspks@163.com
B、 To 是指接受方的邮件地址
C、 Cc 是指回复发件人地址
D Subject 是指电子邮件的主题
(3)A、 改变编码标准
B、 文件加密
C、以附件方式传输
D、 以图片方式传输
某软件公司项目A的利润分析如下 ,设贴现率为 10% ,第二年的利润净现值是 ( ) 元。
| 利润分析 | 第零年 | 第一年 | 第二年 | 第三年 |
| 利润值 | ¥889,000 | ¥1,139,000 | ¥1,514,000 |
A、1,378,190
B、949,167
C、941,322
D、922,590
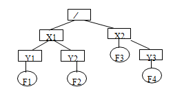
在下图所示的树型文件系统中,方框表示目录,圆圈表示文件,“/” 表示目录 名之间的分隔符,“/”在路径之首时表示根目录。假设“..”表示父目录,当前目录是Y1, 那么,指定文件F2 所需的相对路径是 (1) ;如果当前目录是X2,“DEL”表示删除 命令,那么,删除文件F4 的正确命令是 (2 ) 。
(1)A、 /X1/Y2/F2
B、 /X1/Y2/F2
C、 X1/Y2/F2
D、./Y2/F2
(2)A、 DEL ../Y3/F4
B、 DEL X2/Y3/F4
C、 DEL Y3/F4
D、 DEL /Y3/F4
对通信线路进行设置与拆除的通信设备是 (1) 。通过局域网连接到Internet时,计算机上必须有 (2)。
(1)A、 交换机
B、 通信控制器
C、 多路复用器
D、 路由器
(2)A、 MODEM
B、 网络适配器
C、 电话
D、 USB 接口
在TCP/IP网络中,为各种公共服务保留的端口号范围是 ( ) 。
A、 1~255
B、 1~1023
C、 1~1024
D、 1~65535
在以下网络应用中,要求带宽最高的应用是( )。
A、可视电话
B、数字电视
C、拨号上网
D、收发邮件
我国信息产业与信息化建设主管部门和领导机构,在积极推进信息化建设的过程 中,对所产生的问题予以密切关注,并逐步采取了有效的措施,概括起来,主要是实施 计算机信息系统(1)管理制度;推行计算机系统集成 (2) 制度以及信息系统工程监理制度。
(1)A、 集成资质
B、 集成资格
C、 监理质量
D、 监理资质
(2)A、 监理工程师资格管理
B、 项目经理
C、价格听证
D、 监理单位资格管理