软题库 培训课程
当前位置:JRS直播 >> 在线考试中心 >> 信息系统项目管理师题库 >> 试题查看
试卷年份2019年下半年
试题题型【单选题】
试题内容

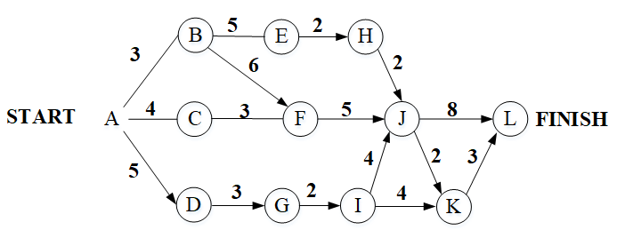
下图是一个软件项目的活动图,其中顶点表示项目里程碑,连接顶点的边表示包含的活动。边上的权重表示活动的持续时间(天),则里程碑(  )不在关键路径上。在其他活动都按时完成的情况下,活动BE最多可以晚 (  )  天开始而不影响工期。

(1)A、B
B、C
C、D
D、J
(2)A、0
B、1
C、2
D、3

查看答案

相关试题