第
15题: 浮点数的表示分为阶和尾数两部分。两个浮点数相加时,需要先对阶,即()(n为阶差的绝对值)。
A.将大阶向小阶对齐,同时将尾数左移n位
B.将大阶向小阶对齐
,同时将尾数右移n位
C.将小阶向大阶对齐
,同时将尾数左移n位
D.将小阶向大阶对齐
,同时将尾数右移n位
答案解析与讨论:
www.fzyzx.cn/st/402859663.html第
16题: 计算机运行过程中,遇到突发事件,要求CPU暂时停止正在运行的程序,转去为突发事件服务,服务完毕,再自动返回原程序继续执行,这个过程称为(2),其处理过程中保存现场的目的是(3)。
(2)A.阻塞
B.中断
C.动态绑定
D.静态绑定
(3)A.防止丢失数据
B.防止对其他部件造成影响
C.返回去继续执行原程序
D.为中断处理程序提供数据
答案解析与讨论:
www.fzyzx.cn/st/402863658.html第
17题: 著作权中,()的保护期不受限制。
A.发表权
B.发行权
C.署名权
D.展览权
答案解析与讨论:
www.fzyzx.cn/st/402879692.html第
1题: 海明码是一种纠错码,其方法是为需要校验的数据位增加若干校验位,使得校验位的值决定于某些被校位的数据,当被校数据出错时,可根据校验位的值的变化找到出错位,从而纠正错误。对于32位的数据,至少需要增加(6)个校验位才能构成海明码。以10位数据为例,其海明码表示为D9D8D7D6D5D4P4D3D2D1P3D0P2P1中,其中Di(0≤i≤9)表示数据位,Pj(1≤j≤4)表示校验位,数据位D9由P4、P3和P2进行校验(从右至左D9的位序为14,即等于8+4+2,因此用第8位的P4、第4位的P3和第2位的P2校验),数据位D5由(7)进行校验。
(6)A.3
B.4
C.5
D.6
(7)A.P4P1
B.P4P2
C.P4P3P1
D.P3P2P1
答案解析与讨论:
www.fzyzx.cn/st/4028915442.html第
2题: 流水线的吞吐率是指单位时间流水线处理的任务数,如果各段流水的操作时间不同,则流水线的吞吐率是()的倒数。
A.最短流水段操作时间
B.各段流水的操作时间总和
C.最长流水段操作时间
D.流水段数乘以最长流水段操作时间
答案解析与讨论:
www.fzyzx.cn/st/4029022896.html第
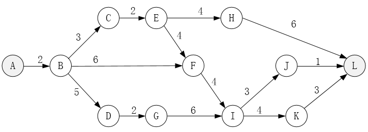
3题:
某软件项目的活动图如下图所示,其中顶点表示项目里程碑,连接顶点的边表示包含的活动,边上的数字表示活动的持续天数,则完成该项目的最少时间为(9)天。活动EH和IJ的松弛时间分别为(10)天。

(9)A.17
B.19
C.20
D.22
(10)A.3和3
B.3和6
C.5和3
D.5和6
答案解析与讨论:
www.fzyzx.cn/st/402919227.html