全国
重庆
福建
山西
宁夏
云南
海南
青海
北京
广东
湖北
安徽
河南
辽宁
陕西
西藏
上海
江苏
湖南
山东
四川
吉林
甘肃
新疆
天津
浙江
河北
江西
贵州
广西
内蒙古
黑龙江
软题库
移动APP
扫码下载APP
随时随地移动学习
培训课程
考试中心
首页
信管
集成
系规
安全
资讯
综合知识
案例分析
整体
范围
进度
成本
质量
人力
沟通
风险
采购
资料
经验
更多
论文
整体
范围
进度
成本
质量
人力
沟通
风险
采购
资料
经验
更多
备考经验
资料下载
培训课程
考试中心
每日一练
章节练习
历年真题
考试题库
俱乐部
论坛
当前位置:
JRS直播
>>
在线考试中心
>>
信息系统项目管理师题库
>> 试题查看
试卷名称
2008年上半年数据库系统工程师考试上午真题试题(综合知识)
考试中心
《2008年上半年数据库系统工程师考试上午真题试题(综合知识)》在线考试
试卷年份
2008年上半年
试题题型
【单选题】
试题内容
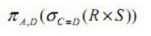
若关系R、S如下图所示,则RS后的属性列数和元组个数分别为(1);π1,4(σ3=6(R×S))=(2);R÷S=(3)。
(1)
A.4和3
B.4和6
C. 6和3
D.6和6
(2)
A.
B.
C.
D.
(3)
A.
B.
C.
D.
JRS直播参考答案:
A、C、A(仅供参考,欢迎评论交流)
JRS直播解析:
普通会员无法查看试题解析。[
开通试题解析服务
]
发表评论
查看完整评论
相关试题
更多试题
采用顺序表和单链表存储长度为n的线性序列,根
凯撒密码是一种置换密码,对其破译的最多尝试次
数字地图主要由()组成。A、数字高程模型B、
你负责对项目进行成本估计工作。因为要求成本估
bi出able中时间戳是()位整型数。(1分
theprojectmanagerwants
阐述卫星通信系统的组成及其功能。
IS审计师想要审查是否对程序文档的访问只被限
公司目前可用的高级程序员有9名,有5个项目即
项目经理成功完成项目。由于在项目结束时,团队
某客户端采用ping命令检测网络连接故障时,
需求分析中,对算法的简单描述记录在()中。A
关于成本控制原则的描述,不正确的是( )。
根据立项批复,某大型信息系统项目需求清晰,各
在基于构件的软件开发中,___(1)___描
三重des加密使用2个密钥对明文进行3次加密
信息系统项目管理师
JRS直播专注信管中高级考试和培训服务10年,服务超30万考生,通过深入研究考试命题趋势和题型,为考生提供专业的培训服务。
邮送16种信息系统项目管理师学习资料及用品
资深讲师近80小时系统直播课程+课后配套习题
软考办指定教材作者线下面授(面授班)
每日一练、历年真题、考前VIP模拟题
计算题、运筹学、法律法规等重点、难点专题讲解
班主任督学+专职老师实时在线辅导答疑
案例分析专题讲解+历年案例真题讲解
论文专题讲解+范例讲解+论文押题批阅
信息系统项目管理师专业题库(电脑、APP、微信)
实力见证,全年服务学员超10000人
享受不过重学服务(高端班)
推荐文章
软考办网站
软考办
北京
天津
河北
山西
上海
江苏
浙江
安徽
湖北
湖南
广东
广西
云南
西藏
江西
陕西
福建
吉林
辽宁
海南
山东
河南
重庆
甘肃
四川
贵州
青海
新疆
宁夏
内蒙古
黑龙江
合作网站内容
注册消防考试网
|
网考网
|
软题库
推荐内容
10年专注信管,信管教育专注者,JRS直播优势
免费试听JRS直播信息系统项目管理师课程
全国前50名高分学员访谈:董丽(174)、李思...
信息系统项目管理师高端班培训课程
信管老师100小时直播课程
软考报名专题(报名时间、入口等)
中级系统集成项目管理工程师通关课程
系统规划与管理师课程(考试介绍与题型分析)
软题库:软考在线题库、支持手机答题
客服中心