阅读以下说明和流程图,回答问题1至问题4,将解答填入答题纸的对应栏内。
【说明】
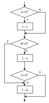
下面的流程图中有两个判断条件A>0和B>0。这些判断条件的各种组合情况如下表所示。表中Y表示相应的条件成立,N表示相应的条件不成立。每一列表示一种条件组合,并在列首用相应的序号来表示。
【流程图】
【问题1】(4分)
当遇到哪几种条件组合时,流程图能执行“1→i”?(写出相应的序号即可)
【问题2】(4分)
当遇到哪几种条件组合时,流程图能执行“2→j”?(写出相应的序号即可)
【问题3】(6分)
当遇到哪几种条件组合时,流程图能执行“3→k”?(写出相应的序号即可)
【问题4】(1分)
该流程图共有多少条实际执行路径?