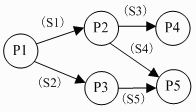
进程P1、P2、P3、P4和P5的前趋图如下:
若用PV操作控制进程P1~P5并发执行过程,则需要设置5个信号量S1、S2、S3、S4和S5,进程间同步所使用的信号量标注在上图中的边上,且信号量S1~S5的初始值都等于零,初始状态下从进程P1开始执行。下图中a、b和c处应分别填写(1);d和e处应分别填写(2),f和g处应分别填写(3)。
(1)A. V(S1)V(S2)、P(S1)和V(S3) V(S4)
B. P(S1)V(S2)、P(S1)和P(S2) V(S1)
C. V(S1)V(S2)、P(S1)和P(S3) P(S4)
D. P(S1)P(S2)、V(S1)和P(S3) V(S2)
(2)A. P(S1) 和V(S5)
B. V(S1) 和P(S5)
C. P(S2) 和V(S5)
D. V(S2) 和P(S5)
(3)A. P(S3)和V(S4) V(S5)
B. P(S3)和P(S4) P(S5)
C. V(S3)和V(S4) V(S5)
D. V(S3)和P(S4) P(S5)