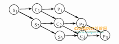
某计算机系统中有一个CPU、一台扫描仪和一台打印机。现有三个图像任务,每个任务有三个程序段:扫描Si,图像处理Ci和打印Pi (i=1,2,3)。下图为三个任务各程序段并发执行的前驱图,其中,(1)可并行执行,(2)的直接制约,(3)的间接制约。
(1)A.“C1S2”,“P1C2S3”,“P2C3”
B.“C1S1”,“S2C2P2”,“C3P3”
C.“S1C1P1”,“S2C2P2”,“S3C3P3”
D.“S1S2S3”,“C1C2C3”,“P1P2P3”
(2)A. S1受到S2和S3、C1受到C2和C3、P1受到P2和P3
B. S2和S3受到S1、C2和C3受到C1、P2和P3受到P1
C. C1和P1受到S1、C2和P2受到S2、C3和 P3受到S3
D. C1和S1受到P1、C2和S2受到P2、C3和S3受到P3
(3)A. S1受到S2和S3、C1受到C2和C3、P1受到P2和P3
B. S2和S3受到S1、C2和C3受到C1、P2和P3受到P1
C. C1和P1受到S1、C2和P2受到S2、C3和P3受到S3
D. C1和S,受到P1、C2和S2受到P2、C3和S3受到P3