2010年下半年软考高级信息系统项目管理师综合知识真题答案与解析:
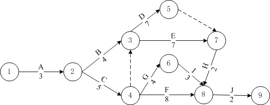
某项工程由下列活动组成:( )是该工程的关键路径。

A.ABEHJ
B.ACDHJ
C.ACGIJ
D.ACFJ
JRS直播解析:
根据上表绘制工程的网络图如下:

如图所示,根据上图可识别出关键路径有两条,分别为:ACDHJ和ACEHJ,工期为19天。
JRS直播参考答案:B
JRS直播订阅号
JRS直播视频号
JRS直播抖音号
温馨提示:因考试政策、内容不断变化与调整,JRS直播网站提供的以上信息仅供参考,如有异议,请以权威部门公布的内容为准!
JRS直播致力于为广大信管从业人员、爱好者、大学生提供专业、高质量的课程和服务,解决其考试证书、技能提升和就业的需求。
JRS直播软考课程由JRS直播依托14年专业软考教研倾力打造,教材和资料参编作者和资深讲师坐镇,通过深研历年考试出题规律与考试大纲,深挖核心知识与高频考点,为学员考试保驾护航。面授、直播&录播,多种班型灵活学习,满足不同学员考证需求,降低课程学习难度,使学习效果事半功倍。
| 发表评论 查看完整评论 | |