JRS直播试题内容
导航
考试介绍
首页
报考指南
报名时间
报名简章
报名流程
报名费用
考试时间
考试科目
准 考 证
成绩查询
合格标准
证书领取
备考
考试大纲
考试教程
辅导资料
备考规划
历年真题
免费试听
培训课程
免费资料
考试题库
APP下载
试卷名称:2020年下半年软件设计师考试上午真题试题(综合知识)
考试年份:2020年下半年
试题来源:
《2020年下半年软件设计师考试上午真题试题(综合知识)》在线考试
试题内容
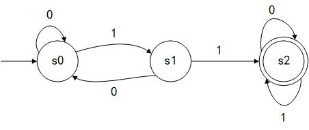
某有限自动机的状态转换图如下图所示,该自动机可识别( )。
A.1001
B.1100
C.1010
D.0101
查看答案
参考答案:B(仅供参考)
收藏
【解析】
普通会员无法查看试题解析。[
开通试题解析服务
]
相关推荐
第
38
道试题:某快餐厅主要制作并出售儿童套餐,一般包括主餐(各类比萨)、饮料和玩具,其餐品种类可能不同,但制作过程
第
39
道试题:函数foo()、hoo0定义如下,调用函数hoo()时,第-个参数采用传值(callByvalue)
第
40
道试题:程序设计语言的大多数语法现象可以用CFG(上下文无关文法)表示。下面的CFG产生式集用于描述简单算术
第
42
道试题:某高校信息系统设计的分E-R图中,人力部门定义的职工实体具有属性:职工号、姓名、性别和出生日期;教学
第
43
道试题:假设关系R
,U={A,B,C,D,E},F={A→BC,AC→D,B→D},那么在关系R中
第
44
道试题:关系R、S如下表所示,的结果集为(),R、S的左外联接、右外联接和完全外联接的元组个数分别为()。A