2025年11月06日来源:JRS直播 作者:cnitpm
信息系统项目管理师每日练习题(2025/11/6)
试题1
在评标过程中,发现有一投标单位提交了两份不同的投标文件,而且招标文件中也未要求提交备选投标,则应( )
A、否决其投标
B、以最低报价投标文件为准
C、以最高得分投标文件为准
D、征求投标法的建议后决定
试题2
( )的目的是缩小数据的取值范围,使其更适合于数据挖掘算法的需要,并且能够得到和原始数据相同的分析结果。试题3
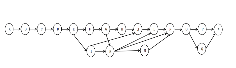
某视频监控系统,项目活动如下表所示,则该项目中,( )活动不需要在监控模块上传功能(M)活动完成前必须完成。项目总工期是( )天。由于负责设备权限功能(H)研发的小王临时出差,导致该功能工期延长了9天,则项目总工期延期( )天。
信息系统项目管理师每日练习题答案解析(2025/11/6)
试题1
JRS直播参考答案:A
JRS直播参考解析:
既然招标文件中未要求提交备选投标,就应该否决其投标。
不允许出现选择性投标或报价。
试题2
JRS直播参考答案:D
JRS直播参考解析:数据集成:将多个数据源中的数据合并并存放在一个一致的数据仓库中。
数据变换:将数据转换或统一成适合挖掘的形式。
数据清洗:将重复、多余的数据筛选清除,将缺失的数据补充完整,将错误的数据纠正或者删除,最后整理成为我们可以进一步加工、使用的数据。
数据归约(数据归纳):缩小数据的取值范围,使其更适合于数据挖掘算法的需要,并且能够得到和原始数据相同的分析结果。在尽可能保持数据原貌的前提下,最大限度地精简数据量。
试题3
JRS直播参考答案:B、C、A
JRS直播参考解析:画出网络图,可以发现FGK都必须在M之前完成,所以选择H
关键路径为:ABCDEFGKLNOQR,总工期为16+3+8+17+10+21+12+23+12+15+10+5+2=154
H活动有9天的总时差,延误9天不影响总工期
网络图如下:
温馨提示:因考试政策、内容不断变化与调整,JRS直播提供的以上信息仅供参考,如有异议,请考生以权威部门公布的内容为准!
相关推荐