2021年下半年信息系统管理工程师下午案例分析真题与答案
中级信息系统管理工程师下午案例分析一般是五道试题,其中一道试题为技术性较强的试题,如下面的试题一,其余的另外四道试题为技术性基础知识试题。
试题一:
阅读下列说明,回答问题1至问题3,将解答填入答题纸的对应栏内。
【说明】
某汽车维修公司为了便于对车辆的维修情况进行管理,拟开发一套汽车维修管理系统,请根据下述需求描述完成该系统的数据库设计。
【需求描述】
(1)客户信息包括:客户号、客户名、客户性质、折扣率、联系人、联系电话。客户性质有个人或单位。客户号唯一标识客户关系中的每一个元组。
(2)车辆信息包括:车牌号、客户号、车型、颜色和车辆类别。一个客户至少有一辆车,每辆车只对应一个客户。例如:车牌号为陕XXX002,车型为大众Polo,颜色为银灰色,车辆类别为小型车,该车属于1006(客户号)客户。
(3)员工信息包括:员工号、员工名、部门号、岗位、电话、家庭住址。其中,员工号唯一标识员工关系中的每一个元组。岗位有业务员、维修工、主管。业务员根据车辆的故障情况,与客户磋商后填写维修单。
(4)部门信息包括:部门号、名称、主管和电话。其中,部门号唯一确定部门关系的每一个元组。每个部门只有一名主管,但每个部门有多名员工,每名员工只属于一个部门。
(5)维修单信息包括:维修单号、车牌号、维修内容、工时、维修员工号。维修单号唯一标识维修单关系中的每一个元组。一个维修工可接多张维修单,但一张维修单只对应一个维修工。
【概念模型设计】
根据需求阶段收集的信息,设计的实体联系图(不完整)如图1-1所示。
图1-1实体联系图

【逻辑结构设计】
根据概念模型设计阶段完成的实体联系图,得出如下关系模式(不完整):
客户(客户号,客户名,(a),折扣率,联系人,联系电话)
车辆(车牌号,(b),车型,颜色,车辆类别)
员工(员工号,员工名,岗位,(c),电话,家庭住址)
部门(部门号,名称,主管,电话)
维修单(维修单号,(d),维修内容,工时,维修员工号)
【问题1】(6分)
根据需求描述,图1-1实体联系图中缺少两个联系。请在答题纸对应的实体联系图中补充这两个联系及联系类型,其中联系名可取联系1、联系2。
【问题2】(6分)
(1)根据题意,将关系模式中的空(a)~(d)的属性补充完整,并填入答题纸对应的位置上。
(2)维修单关系的主键为(e),外键为(f)。
【问题3】(3分)
如果一张维修单涉及多项维修内容,需要多个维修工来处理,那么维修联系类型会改变吗?你认为应该如何解决这一问题?
试题一参考答案
【问题1】
补充的两个联系及联系类型如图1-2中虚线所示。
图1-2补充后的实体联系图
【问题2】
(1)
(a)客户性质
(b)客户号
(c)部门号
(d)车牌号
(2)
(e)维修单号
(f)客户号、维修员工号
【问题3
会改变,维修联系的类型变为多对多(*:*)。
根据实体联系图中*:*联系的转换规则,将维修联系转换为独立的关系模式。
试题二:
阅读以下说明,回答问题1至问题3,将解答填入答题纸的对应栏内。
【说明】
某企业为了便于组织管理,拟在人力资源管理系统平台上增加目标考核管理子系统。目的是帮助企业管理者通过有效组织管理,将员工绩效与薪资挂钩,充分调动员工的积极性,创造价值链利润。经过招标,M公司中标,由M公司李工担任项目主管。
【需求分析】
经过需求调研,项目组认为目标考核管理子系统可由五个部分组成:后台管理、任务管理、督办事务管理、综合统计及信息发布。
(1)后台管理模块。该模块的功能是对企业各级机构和人员信息、部门信息、考核指标以及角色权限进行管理。权限分为:管理员、一般人员和审核人员,实行“三员”分立。
(2)任务管理模块。根据年初上级制定并下发一定分值的若干工作任务,包括从任务创建→任务审核下发→任务执行→完成任务评定等一系列管理工作。
(3)督办事务管理。根据本年度各级机构和人员所承担的任务,创建督办事务并下发、对下发的督办事务进行抽样检查、上报抽样检查结果、问题督促整改等管理工作。
(4)综合统计模块。该模块主要分为:统计与查询、年终排名通报。
统计与查询。系统根据角色进行相关的统计与查询,例如:一般人员可对所承担的任务进度及完成情况进行统计与查询,部门管理员可对任务完成得分及排名情况进行统计与查询。
年终排名通报。企业管理员可根据年终考评结果调整分值,给出年终排名通报。
(5)信息发布模块。采用短信提醒对任务执行人进行短信提醒与催办,以及部门或个人的通知信息发布。
【问题1】(8分)
根据需求分析的结果,请将表2-1中序号为1~16的功能模块区分出来,分别归入后台管理、任务管理、督办事务管理、综合统计及信息发布模块中,并填入答题纸对应的位置上。
(1)后台管理包含的功能:()
(2)任务管理包含的功能:
()
(3)督办事务管理包含的功能:
()
(4)综合统计包含的功能:
()
(5)信息发布包含的功能:
()
表2-1目标责任考核管理

【问题2】(3分)
经过项目组研讨,提出可采用C/S和B/S两种系统设计模式。李工从以下3个方面对C/S和B/S模式的特点进行比较。请根据系统设计模式特点选择C/S或B/S,填入答题纸对应的空(a)~(f)中。

【问题3】(4分)
(1)什么是基于角色的访问控制(Role-Based Access Control,RBAC)?
(2)信息系统采用RBAC有哪些优点?
试题二参考答案
【问题1】
(1)机构和人员信息管理角色权限管理部门信息管理考核指标管理或4,6,12,13
(2)任务创建任务审核并下发任务执行完成任务评定或1,3,7,10
(3)督办事务抽样检查创建督办事务并下发上报抽样检查结果问题督促整改或5,8,11,15
(4)统计与查询年终排名通报或14,16
(5)短信提醒与催办通知信息发布或2,9
【问题2】
(a)C/S
(b)B/S
(c)B/S
(d)C/S
(e)B/S
(f)C/S
【问题3】
(1)RBAC是面向企业安全策略的一种有效的访问控制方式。
(2)无需对新增人员进行分配权限的操作,只需对该人员分配角色即可;简化人员的权限管理,角色的权限变更比人员的权限变更工作量小。
试题三:
阅读以下说明,回答问题1至问题3,将解答填入答题纸的对应栏内。
【说明】
某高校校园网2020年X月份运维报告分为四个部分,报告模板摘要如下所示。
一、本月重大事件
综述高校网络管理部门本月完成的主要工作内容以及成果(绩效改进等)、本月运维工作中发现的重大安全风险及处置情况等内容。
二、核心业务系统运行情况
核心业务系统包括站群系统、OA系统、一站式服务平台、学工系统等内容。该部分主要对以上各系统中断情况、核心业务使用情况、重点业务的推广情况通过图表数据详细展示说明。
三、本月份校园网运行情况
首先对校区范围网络、楼层范围网络以及电脑维护运维标准进行了说明,其次是对上述三个方面的故障及维护情况做了统计分析。
四、校园网出口带宽利用情况
对校园网的出口宽带的流量监测情况(采样间隔1个小时),用图表进行了展示说明。
请结合系统管理的相关知识回答下列问题。
【问题1】(7分)
(1)简要说明网络管理部门撰写该报告的作用。
(2)简要说明该报告中的故障处理应该包括哪些内容。
【问题2】(4分)
(1)简要说明站群系统的作用。
(2)简要说明一站式服务平台中的“一站式”含义。
【问题3】(4分)
简要说明对校园网出口带宽流量监测的目的。
试题三参考答案
【问题1】
(1)系统运维报告是评价整个校园网运行状态和校园网运行绩效改进的基础。
(2)故障处理包括数据的记录及归类、故障的影响程度及紧急程度确定、解决故障的先后顺序、解决故障的流程等内容。
【问题2】
(1)站群通常指的是高校各部门的统一建站平台,各个部门通过一套系统建立各自的网站。
(2)“一站式”指的是通过统一的接入或者认证实现用户对多个业务系统的访问。
【问题3】
校园网出口流量的变化趋势;可以查看用户的上网需求的变化,可以发现网络的安全隐患(如网络病毒及网络攻击)。
试题四:
阅读以下说明,回答问题1至问题3,将解答填入答题纸的对应栏内。
【说明】
设施与设备管理是企业IT资源管理的一个重要的组成部分,与信息化软硬件、网络以及数据等资源管理处于同等重要的地位。从事信息化管理工作时,掌握必要的设施与设备管理技术是信息化安全运行的前提条件。
设施与设备管理包括电源设备管理、空调设备管理、通信应急设备管理、楼宇管理、防护设备管理及信息安全措施标准等诸多技术管理。请从企业机房建设与管理的角度回答下列设施与设备管理的相关问题。
【问题1】(5分)
企业机房设备的用电设计应注意哪些方面的问题?
【问题2】(6分)
企业局域网进行结构化布线包括哪六个子系统?
【问题3】(4分)
企业机房建设时应该考虑的防护设施包括哪些?
试题四参考答案
【问题1】
①机房设备用电设计应有应急电源设备或不间断电源;
②计算机设备接地应采用专用地线;
③计算机各设备走线应避免与空调、网络线路产生干扰;
④设置可靠的供电线路,供电量应具有一定的余量;
⑤电源的使用和安装均应符合相关的国家标准。
【问题2】
①工作区子系统;
②水平子系统;
③主干子系统(或垂直子系统);
④设备间子系统;
⑤建筑群子系统;
⑥管理子系统。
【问题3】
①防火设施 ②防雷设施 ③防水设施
④防盗或安全设施 ⑤隔音设施 ⑥防辐射设施
试题五:
阅读以下说明,回答问题1至问题3,将解答填入答题纸的对应栏内。
【说明】
技术人员在IT服务的过程中,经常会遇到诸如网络故障或者产品缺陷等问题。此时技术人员要做的是将问题进行控制,分析问题产生的原因,在必要时将问题升级为已知错误。在此基础上,技术人员需要进行错误控制。通过变更请求确保已知错误被完全消除,避免再次发生故障,通常这样的过程在IT服务中有一定的流程。
请结合所学故障及问题管理的相关知识解答下列问题。
【问题1】(6分)
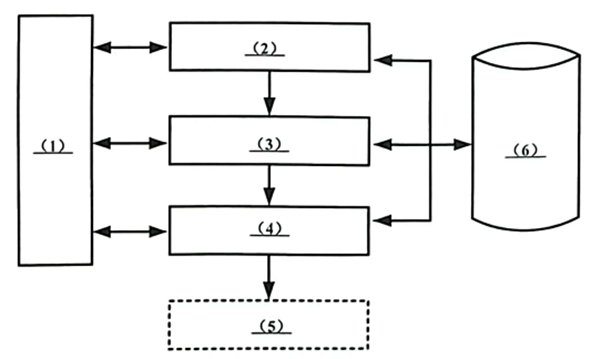
在问题控制步骤选项A~F中,选择合适的填入图5-1所示的(1)~(6)中。
问题控制步骤选项:
A.调查与分析
B.错误控制
C.归类
D.问题管理数据库
E.跟踪和监督
F.发现和记录

图5-1问题控制过程
【问题2】(4分)
若技术人员要在故障发生前解决相关问题,那么技术员应该怎么做?
【问题3】(5分)
通常技术人员会将问题管理报告提供给业务部门和IT部门作为决策依据,具体来说应该包括哪些方面的内容。
试题五参考答案
【问题1】
(1)E(2)F(3)C
(4)A(5)B(6)D
【问题2】
趋势分析
制定预防措施
【问题3】
①事件报告
②产品质量
③管理效果
④常规问题管理与问题预防之间的关系
⑤问题状态和行动计划
⑥改进问题管理的意见和建议