2023年10月12日来源:JRS直播 作者:cnitpm
软件设计师当天每日一练试题地址:www.fzyzx.cn/exam/ExamDay.aspx?t1=4
往期软件设计师每日一练试题汇总:www.fzyzx.cn/class/27/e4_1.html
软件设计师每日一练试题(2023/10/11)在线测试:www.fzyzx.cn/exam/ExamDay.aspx?t1=4&day=2023/10/11
点击查看:更多软件设计师习题与指导
软件设计师每日一练试题内容(2023/10/11)
试题1
软件著作权的客体不包括()。
A.源程序
B.目标程序
C.软件文档
D.软件开发思想
查看答案
试题参考答案:D
试题解析与讨论:www.fzyzx.cn/st/2474216998.html
试题2
风险的优先级通常是根据( )设定。
A. 风险影响 (risk impact)
B. 风险概率(risk probability)
C. 风险暴露 (risk exposure)
D. 风险控制(risk control)
查看答案
试题参考答案:C
试题解析与讨论:www.fzyzx.cn/st/2547319443.html
试题3
用户A和B要进行安全通信,通信过程需确认双方身份和消息不可否认。A和B通信时可使用(1)来对用户的身份进行认证;使用(2 )确保消息不可否认。查看答案
试题参考答案:A、D
试题解析与讨论:www.fzyzx.cn/st/416615931.html
试题4
关系模式R(U,F),其中U=(W,X,Y,Z),F={WX→Y,W→X,X,→Z,yVw}。关系模式R的候选码是(1),(2)是无损连接并保持函数依赖的分解。
(1)A、W和Y
B、WY
C、WX
D、WZ
(2)A、ρ={R1(WY),R2(XZ)}
B、ρ={R1(WZ),R2(XY)}
C、ρ={R1(WXY),R2(XZ)}
D、ρ={R1(WX),R2(YZ)}
查看答案
试题参考答案:A、C
试题解析与讨论:www.fzyzx.cn/st/76992651.html
试题5
对于非空的二叉树,设D代表根结点,L代表根结点的左子树R代表根结点的右子树。若对下图所示的二叉树进行遍历后的结点序列为7 6 5 4 3 2 1,则遍历方式是( )。 
A.LRD
B.DRL
C.RLD
D.RDL
查看答案
试题参考答案:D
试题解析与讨论:www.fzyzx.cn/st/2529020136.html
试题6
某搜索引擎在使用过程中,若要增加接受语音输入的功能,使得用户可以通过语音输入来进行搜索,此时应对系统进行 ( ) 维护。查看答案
试题参考答案:B
试题解析与讨论:www.fzyzx.cn/st/380518677.html
试题7
王某是M国际运输有限公司计算机系统管理员。任职期间,王某根据公司的业务要求开发了“海运出口业务系统”,并由公司使用,随后,王某向国家版权局申请了计算机软件著作权登记,并取得了《计算机软件著作权登记证书》。证书明确软件名称是“海运出口业务系统V1.0”,著作权人为王某。以下说法中,正确的是()。
A.海运出口业务系统V1.0的著作权属于王某
B.海运出口业务系统V1.0的著作权属于M公司
C.海运出口业务系统V1.0的著作权属于王某和M公司
D.王某获取的软件著作权登记证是不可以撤销的
查看答案
试题参考答案:B
试题解析与讨论:www.fzyzx.cn/st/246798845.html
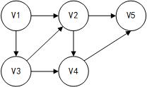
试题8
某有向图如下所示,从顶点v1出发对其进行深度优先遍历,可能能得到的遍历序列是( ); 从顶点v1出发对其进行广度优先遍历,可能得到的遍历序列是( )。
查看答案
试题参考答案:D 、B
试题解析与讨论:www.fzyzx.cn/st/4513418381.html
试题9
函数调用时,基本的参数传递方式有传值与传地址两种,( ) 。
A、在传值方式下,形参将值传给实参
B、在传值方式下,实参不能是数组元素
C、在传地址方式下,形参和实参间可以实现数据的双向传递
D、在传地址方式下,实参可以是任意的变量和表达式
查看答案
试题参考答案:C
试题解析与讨论:www.fzyzx.cn/st/81672812.html
试题10
下图所示UML图为( ),用于展示系统中( )。
查看答案
试题参考答案:C、B
试题解析与讨论:www.fzyzx.cn/st/4169126968.html
温馨提示:因考试政策、内容不断变化与调整,JRS直播提供的以上信息仅供参考,如有异议,请考生以权威部门公布的内容为准!
相关推荐