2022年05月28日来源:JRS直播 作者:cnitpm
软件设计师当天每日一练试题地址:www.fzyzx.cn/exam/ExamDay.aspx?t1=4
往期软件设计师每日一练试题汇总:www.fzyzx.cn/class/27/e4_1.html
软件设计师每日一练试题(2022/5/27)在线测试:www.fzyzx.cn/exam/ExamDay.aspx?t1=4&day=2022/5/27
点击查看:更多软件设计师习题与指导
软件设计师每日一练试题内容(2022/5/27)
试题1
以下关于测试的叙述中,正确的是( )。查看答案
试题参考答案:D
试题解析与讨论:www.fzyzx.cn/st/4168321976.html
试题2
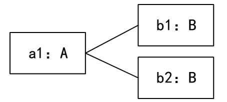
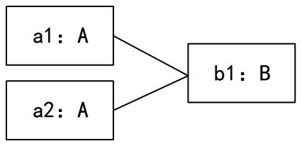
UML图中, 对象图展现了( ),( )所示对象图与 下图所示类图不一致。




查看答案
试题参考答案:C 、D
试题解析与讨论:www.fzyzx.cn/st/4512212537.html
试题3
3、 设 16 位浮点数,其中阶符 1 位、阶码值 6 位、数符 1 位、尾数 8 位。若阶码用移码表示,尾数用补码表示,则该浮点数所能表示的数值范围是() 。
A.-264~(1-2-8)264
B.-263~(1-2-8)263
C.-(1-2-8)264~(1-2-8)264
D.-(1-2-8)263~(1-2-8)263
查看答案
试题参考答案:B
试题解析与讨论:www.fzyzx.cn/st/2860813925.html
试题4
在软件开发过程中进行风险分析时, ( ) 活动的目的是辅助项目组建立处理风险的策略,有效的策略应考虑风险避免、风险监控、风险管理及意外事件计划。
A、风险识别
B、风险预测
C、风险评估
D、风险控制
查看答案
试题参考答案:D
试题解析与讨论:www.fzyzx.cn/st/83362870.html
试题5
当二叉数中的结点数目确定时,( )的高度一定是最小的。查看答案
试题参考答案:B
试题解析与讨论:www.fzyzx.cn/st/4548428849.html
试题6
知识产权一般都具有法定的保护期限,一旦保护期限届满,权利将自行终止,成为社会公众可以自由使用的知识。( )权受法律保护的期限是不确定的,一旦为公众所知悉,即成为公众可以自由使用的知识。
A、发明专利
B、商标
C、作品发表
D、商业秘密
查看答案
试题参考答案:D
试题解析与讨论:www.fzyzx.cn/st/76802644.html
试题7
甲、 乙两个申请人分别就相同内容的计算机软件发明创造,向国务院专利行政部门门提出专利申请,甲先于乙一日提出,则( )。查看答案
试题参考答案:A
试题解析与讨论:www.fzyzx.cn/st/450962360.html
试题8
若用户需求不清晰且经常发生变化,但系统规模不太大且不太复杂,则最适宜采用(1 )开发方法,对于数据处理领域的问题,若系统规模不太大且不本复杂,需求变化也不大,则最适宜采用(2 )开发方法。
(1)A.结构化
B. Jackson
C.原型化
D.面向对象
(2)A.结构化
B. Jackson
C.原型化
D.面向对象
查看答案
试题参考答案:C、A
试题解析与讨论:www.fzyzx.cn/st/2525915611.html
试题9
为验证程序模块A是否正确实现了规定的功能,需要进行 (1) ;为验证模块A能否与其他模块按照规定方式正确工作,需要进行 (2) 。
(1)A、单元测试
B、集成测试
C、确认测试
D、系统测试
(2)A、单元测试
B、集成测试
C、确认测试
D、系统测试
查看答案
试题参考答案:A、B
试题解析与讨论:www.fzyzx.cn/st/79542739.html
试题10
拓扑排序是将有向图中所有顶点排成一个线性序列的过程,并且该序列满足:若在AOV网中从顶点νi到νj有一条路径,则顶点νi必然在顶点νj之前。对于图1-7所示的有向图,()是其拓扑序列。
A.1 2 3 4 5 7 6
B.1 2 3 5 4 6 7
C.2 1 3 5 4 7 6
D.2 1 3 4 5 6 7
查看答案
试题参考答案:C
试题解析与讨论:www.fzyzx.cn/st/248444194.html
温馨提示:因考试政策、内容不断变化与调整,JRS直播提供的以上信息仅供参考,如有异议,请考生以权威部门公布的内容为准!
相关推荐